Bryn Battersby and Robert Ewing
Treasury Working Paper
2005 — 03
June 2005
*The authors are grateful to Graeme Davis, David Gruen, EdwardOczkowski, JanineMurphy, GeneTunny and Ben Dolman for their assistance and comments. The authors also gratefully acknowledge NataliaTamirisa at the International Monetary Fund for providing the data for this analysis.
Abstract
This paper examines how distance and economic size influence the level of international trade. Parameters for an international gravity trade model are estimated and used to calculate annual expected aggregate trade for Australia over the last 20 years. This model also includes a new indicator of economic remoteness that statistically identifies each country’s distance from world economic activity.
The results indicate that Australia may have been performing slightly better than the gravity trade model predicts given its geographic remoteness. The parameters from the model are also used to construct a simple indicator of trade performance, which suggests that Australia performs well relative to a range of similarly developed economies.
JEL Classification Numbers: F1, F17
Keywords: Gravity trade model, Australia, remoteness
1. Introduction
The title of Geoffrey Blainey’s (1983) book, The Tyranny of Distance, has become a popular phrase for explaining many of the challenges that have been faced on Australia’s path to prosperity. This paper explores that ‘tyranny of distance’ and its effect on Australia’s level of international trade. A gravity trade model is used to provide quantitative evidence on the extent of Australia’s economic remoteness and the contribution of this remoteness to Australia’s relatively low level of international trade.
Australia’s trade intensity (the ratio of the sum of exports and imports to GDP) is much lower than many other countries (Figure 1). As general indicators of the contribution of international trade to competition in domestic markets, these trade intensities are simple, clear and useful. They are, however, unsuitable measures of trading performance because they fail to control for a range of other factors that significantly influence the level of trade. This is most obviously demonstrated in Figure 1 by the examples of Japan and the United States. The total imports and exports of these two countries constitute around 19 per cent of total world trade, but the size of these economies is such that, as a proportion of their own GDPs, their trade levels are comparatively low.
It is not only a country’s size that can distort these comparisons. Especially remote countries that face significantly greater international trade costs also have low levels of trade as a proportion of GDP. As a particularly remote country, Australia’s trade intensity should be expected to be lower than many other countries.
Figure 1: Trade intensities, 2001

Note: Trade intensity is the ratio of the sum of a country’s exports and imports to its GDP.
Source: OECD Main Economic Indicators and Coe et al (2002).
Accounting for the distance between countries, as well as their economic size, should therefore provide a more appropriate comparative measure of trade performance. This is the central objective of this paper.
In this paper, we estimate parameters for an international gravity trade equation and use them to predict international trade for Australia over the last 20 years. These predictions suggest that the ‘tyranny of distance’ acts to significantly lower Australia’s level of total international trade. Using the predictions from the model to allow for the effects of both distance and remoteness — a distinction that will be explored in detail below — Australia appears to have slightly more trade than expected, not less.
We also develop a new indicator of economic remoteness. Not surprisingly, this indicator confirms Australia’s status as the second most remote developed economy in the world, after New Zealand. While the growth of Asia has reduced Australia’s economic remoteness over time, Australia remains a very remote economy relative to others.
This paper contains five sections. The next section provides an overview of the literature on the gravity trade model. The third section reviews the methodology for estimating the parameters of the gravity trade equation as well as the construction of the remoteness indicator and sources of data. The fourth section presents the results of the estimation and discusses those results and the predictions of the model. The fifth section concludes.
2. The gravity model
Gravity equations have been used successfully for a number of decades to explain a range of economic phenomena. In economics, gravity equations relate some observed outcome to the economic mass and distance between two economic units. Disciplines such as urban economics and transport economics have used the approach to model outcomes such as the number of passengers travelling on a certain route between two cities or suburbs.
Perhaps the widest application of the approach, though, has been in international economics where it has been used to model bilateral trade flows. The gravity trade equation relates the level of trade between two countries to the ‘economic masses’ of the two countries, normally measured by GDP, and the distance between them. The model anticipates that trade will be greater in absolute terms the greater are the economic masses and the closer together are the two economies. In relative terms, the model also anticipates that as economic masses increase, trade decreases as a proportion of these masses.
The results we present build on the research undertaken by Coe, et al (2002) at the International Monetary Fund. Coe et al’s work sought to model the changing effect of distance on international trade over time. However, while we draw heavily on Coe et al’s work, there is a comprehensive literature on the gravity modelling approach that is worthwhile surveying to ground the methodology and findings of this study.
While Tinbergen (1962) and Pyhnen (1963) were the first to use the gravity equation in explaining trade flows, it was Anderson’s (1979) work that provided the basis for much of the further study. In its simplest form, the gravity trade equation can be specified as:
where Tijis the trade between countries i and j, Yi is the economic mass (normally measured as GDP) of country i, dijis the distance between countries i and j, and
and
are parameters to be estimated. This is often extended to include additional variables such as whether the country shares a border with the trading partner1 and a range of other policy related variables.
Gravity trade models have done a remarkable job of explaining the volume of trade between countries.
Rose (2002) estimates a model that includes additional variables on the involvement of countries in a variety of trade agreements and produces R2 values around 0.65. Coe et al (2002) focuses primarily on explaining the puzzle of non-reducing distance coefficients over time and uses a nonlinear specification to produce R2 values around 0.90. Other studies (see Coe and Hoffmaister, 1999, McCallum, 1995, and Frankel and Wei, 1998) also report strong goodness of fit results for their models.
Acceptance of a theoretical justification for the gravity model of trade has not been as forthcoming, though, and debate continues over the consistency of the gravity model with standard economic trade theories. Deardorff (1998) provides a good overview of the various attempts to synthesise the empirical relationship with a variety of trade theories. Bergstrand (1998), in a comment on Deardorff's paper, notes the frustration in the economics community that has stemmed from the apparent inability of trade theory to deal adequately with the gravity relationship.
Deardorff (1998) does, however, show how the gravity equation can be derived from standard trade theories. That said, his paper also points out that the gravity model cannot be used as an empirical test to validate any of the trade theories. Evenett and Keller (1998) examine and discuss the reasons for some findings that may appear inconsistent with the theoretical literature. Importantly, their work supports the growing body of literature that suggests that the gravity equation can be derived from a range of standard theoretical trade models but does not necessarily prove the validity of any such models.
Anderson and van Wincoop (2001) also maintain that while a number of authors have linked underlying standard trade theories with the gravity equation, the specification used in many empirical studies is not consistent with those theories. They suggest that the misspecification results from the use of absolute rather than relative trade costs. Coe et al (2002) note this in their paper and develop their model based on the Anderson and van Wincoop specification.
But while there has been an abundance of useful modelling exercises, there have been only a few applications to Australia. Kalirajan (1999 and 2000) uses a modified gravity trade model to analyse trade flows between Australia and India and around the Indian Ocean and produces useful estimates of the trade intensity between Australia and these countries.
More recently, in related work, Guttman and Richards (2004) employed the gravity trade equation to explore Australia’s trade openness. Their work found that the most important factors explaining Australia’s low trade to GDP ratio were Australia’s distance to the rest of the world and Australia’s large geographic size. Other than these studies, however, application of gravity models in Australia is limited, which is surprising given the model’s simplicity and focus on location.
This paper therefore provides further evidence on the effect of distance on Australia’s expected level of total trade given the specification and estimated parameters of the gravity trade equation. The model and results presented in the following sections develop on the literature that has been outlined here by including a new indicator of remoteness, utilising potentially more appropriate econometric methodologies and providing results that specifically address Australia’s level of international trade.
3. Methodology and data for the estimation of the gravity trade model
3.1 Model specification and data
We use a slightly reduced form of the specification used in Coe et al (2002). This is, in turn, generally based on the specification of Anderson and van Wincoop (2001). This model specification, presented in equation (2), is an extension of equation (1) to include population and remoteness effects as well as a dummy variable that captures the existence of a common land border between the trading couple.
Additional to equation (1), these equations include the product of the populations of the two countries
, a constant α, and a dummy variable, Cij that specifies whether the two trading partners, i and j, have a common border. dijis a great circle measurement of the distance between the capital cities of countries i and j.
is an indicator of the remoteness of the two countries and will be discussed in more detail shortly.
This specification includes population on the same grounds as Coe et al (2002). That is, the greater the population of a country, the less likely it is to trade because the costs of trading within the country are relatively low compared to less populous countries. We also capture the effect of a common land border between two trading partners.
This model is applied across yearly panels of bilateral trade data extracted from the International Monetary Fund’s (2002) Direction of Trade Statistics Database. The data used in the estimations are predominantly the same as those used in Coe et al (2002) with the key exception that the remoteness indicator used in this model is developed below.2
A new indicator of remoteness
Remoteness is included as the product of the remoteness indicators for the two trading countries. This variable captures an expected increase in trade for bilateral trading partners that are remote from the rest of the world. For example, it would be expected that Australia and New Zealand would trade more with each other not only because of their geographic closeness but also because of their remote geographic positions in the world. This application of the remoteness indicator in the estimation of the gravity trade equation is similar to that of Coe et al (2002) and Anderson and van Wincoop (2001). Of course, distance, dij, captures the remoteness of the two trading partners from each other and is expected to have a negative coefficient.
Appendix A details the construction of the remoteness indicator used in this analysis. Table 1 shows the remoteness indicator, the ‘effective distance to the rest of world GDP’ for the members of the OECD, as well as members of the G20 which are not members of the OECD themselves. In 1998, out of these 38countries, which together made up 85percent of world GDP, Australia is more remote than every country but one, New Zealand.

Source: Author’s calculations based on data from Maddison (2001).
The advantage held by Europe is clear in Table 1. The twenty least-remote countries are all in Europe, and the only non-European country less remote than a European country is South Korea (which benefits in this calculation from being a close neighbour of both Japan and China).
Table 1 also shows the remoteness of the same group of countries for 1950, and the percentage change over those 48 years. All of the European countries have become more remote, by around 20percent, while Asian countries in the group have generally become less remote. South Korea is particularly notable, with a 29percent fall in remoteness.
3
.2 Summary
The data used in the estimation cover bilateral trade between 73 countries and are summarised in Table 23.
Table 2: Summary of the Data
|
1980 |
1985 |
1990 |
1995 |
2001 |
|
|
Tij (US$bn) |
|||||
|
Mean |
0.52 |
0.56 |
1.06 |
1.57 |
1.94 |
|
Standard Deviation |
3.02 |
3.87 |
6.38 |
9.19 |
12.10 |
|
Minimum |
0.00 |
0.00 |
0.00 |
0.00 |
0.00 |
|
Maximum |
87.32 |
128.89 |
176.56 |
268.19 |
379.00 |
|
Per cent at censoring point (0) |
16.32% |
13.93% |
9.21% |
6.66% |
6.54% |
|
Yi (GDP) (US$bn) |
|||||
|
Mean |
112.67 |
112.76 |
220.79 |
315.92 |
301.63 |
|
Standard Deviation |
222.83 |
258.75 |
505.13 |
783.72 |
710.47 |
|
Minimum |
0.82 |
0.67 |
0.35 |
0.63 |
0.63 |
|
Maximum |
2795.55 |
4213.00 |
5803.25 |
7400.55 |
10208.13 |
|
Pi (millions) |
|||||
|
Mean |
60.84 |
66.40 |
72.39 |
78.37 |
84.63 |
|
Standard Deviation |
169.65 |
183.61 |
199.77 |
214.19 |
229.14 |
|
Minimum |
0.23 |
0.24 |
0.26 |
0.28 |
0.29 |
|
Maximum |
987.05 |
1058.51 |
1143.33 |
1211.21 |
1272.16 |
|
Ri |
|||||
|
Mean |
5929.28 |
5970.35 |
5997.94 |
6005.57 |
6013.60 |
|
Standard Deviation |
2387.07 |
2360.40 |
2329.10 |
2248.38 |
2234.67 |
|
Minimum |
1710.65 |
1799.75 |
1878.47 |
1962.11 |
2017.11 |
|
Maximum |
12875.54 |
12737.28 |
12570.78 |
12319.15 |
12312.04 |
|
Distance (km) |
|||||
|
Mean |
8074.299 |
||||
|
Standard Deviation |
4405.558 |
||||
|
Minimum |
4.145592 |
||||
|
Maximum |
19946.65 |
3.3 Econometric methodology
The parameters of the model are estimated in its original nonlinear form with an additive error term. The nonlinear specification, which was originally suggested and used by Coe et al (2002), differs from the standard log-linear estimation of the parameters of the gravity trade equation. Coe et al point out that this specification is more appropriate than a log-linear specification both because it allows trade to go to zero as the size of either of the economies goes to zero and because it does not require a non-random screening of the data to remove the zero bilateral trade observations.
However, the censoring of the dependent variable at zero can create bias in the estimates of the parameters. Indeed, in the international trade dataset that is used in this analysis, observations at the limit (zero) account for around 16percent of all observations in 1980 through to around 7percent of all observations in 2001.
To overcome the bias that may result from this censoring of the data, a Tobit specification of the model with lower censoring at zero is also estimated. The approach, first explored by Tobin (1958) and now a key method summarised in Maddala (1983) and Greene (2003) among others, is a censored normal regression model which is directly related to the estimation of censored normal distributions. Appendix B provides further detail on the estimator and diagnostic tests that were applied to produce the coefficient estimates presented in the next section.
4. Results
The diagnostic test results, presented in Appendix B, indicate a number of concerns with the results, especially to do with the assumptions of normality and homoskedasticity. While Tobit estimates are sensitive to these assumptions, they were preferred because they accounted for the bias created by the censoring of the dependent variable at zero. 4
Table 3 presents the coefficients from the estimation of the Tobit specifications of the gravity trade equation for five of the years at generally regular intervals in the dataset. These coefficients are broadly consistent with the results presented in Coe et al (2002), though the coefficient on distance does not decrease to the same extent as they reported. This arises because a slightly different dependent variable is used here.
Using these results, predictions can be generated for each year in the dataset for individual countries or individual trade pairs. Figure 2 presents the predicted trade for Australia for each year in the dataset as well as the actual observed trade for Australia.
Table 3: Results of the Tobit estimation of the Gravity Trade Model
|
1980 |
1985 |
1990 |
1995 |
2001 |
|
|
Constant |
-10.94 |
-8.03 |
-8.08 |
-8.91 |
-6.32 |
|
Economic Mass |
0.91 |
0.89 |
0.83 |
0.72 |
0.69 |
|
Distance |
-0.49 |
-0.53 |
-0.51 |
-0.52 |
-0.46 |
|
Population |
-0.21 |
-0.10 |
-0.06 |
0.07 |
0.09 |
|
Remoteness |
0.27 |
0.17 |
0.19 |
0.37 |
0.22 |
|
Common Border |
0.64 |
0.33 |
0.56 |
0.89 |
0.98 |
Notes: The results are from a Tobit maximum likelihood estimation of separate yearly nonlinear models specified in equation (14) in Appendix B. Figures in brackets are the estimate divided by its standard error. *** indicates significance at the 1 per cent level, ** indicates significance at the 5 per cent level and * indicates significance at the 10 per cent level. Diagnostic test results are presented in Appendix B.
Figure 2: Actual trade and gravity trade model predictions for Australia,
1980 — 2001

Source: IMF Direction of Trade Statistics (2002) and authors’ calculations.
Figure 2 indicates that Australia’s trade performance has been broadly as the model would predict. Indeed, many of the predictions are slightly lower than the actual level of trade, suggesting that Australia may be performing better than expected when the variables in the gravity trade equation are considered.
Figure 2 also suggests that Australian trade levels were fairly resilient through the turbulent period of the later half of the 1990s. It was around this time that many of Australia’s nearby trading partners were struggling through the Asian Financial Crisis. The model suggests that Australia’s trade levels should have turned down more sharply than they did. Australia’s actual aggregate trade levels, however, were relatively stable through this period.
To quantify the effect of Australia’s location on its trade performance, it is of interest to substitute the distance and remoteness variables for Australia with those for the United Kingdom. As Table 1 highlights, the United Kingdom is particularly close to much of the world’s economic activity. The model results imply that had Australia been as close to the other economies as the United Kingdom, its level of trade would have been, on average, about 50 per cent greater than it is (see Figure 3).
Of course, this abstracts from many other implications of this change in proximity to the rest of the world, including the path of development, the industry structure and a range of other factors. But it does give an estimate of the effect of the ‘tyranny of distance’ on Australia’s level of trade. The critical outcome here is that, while Australia trades far less than many other countries, its trade is at, or slightly above, the level expected once its geographical isolation is taken into account.
Figure 3: Actual and expected aggregate trade for Australia
using the United Kingdom’s proximity to other economies

Notes: The ‘Model prediction with the UK’s location’ substitutes the Australian distance to bilateral trading partners and remoteness variable with the UK’s equivalent variables. Source: IMF Direction of Trade Statistics (2002) and authors’ calculations.
It is also possible to compare the performance of countries using the results from the estimation of the gravity trade equation. Figure 4 presents a comparison of the actual trade of each country as a proportion of the model’s prediction for that country.
The results in Figure 4, which control for the variables in the gravity trade equation including distance and size, give a better indication of comparative trade performance. In this figure, Australia ranks 6th among the 21 countries shown, compared with 19th when a simple trade intensity comparison is used.
Figure 4: Actual trade as a proportion of expected trade, 2001

Note: Expected trade is calculated using the estimated gravity trade equation for 2001.
Accounting for the factors in the gravity trade equation suggests that Australia’s comparative trade performance is actually quite strong. These factors, which are ordinarily outside the control of policy, plainly have a role in determining many economic outcomes in a country. In Australia’s case, geographic remoteness increases the costs of trading, which in turn lowers the extent of international trade and provides varying degrees of natural protection for Australian industries.
This natural disadvantage presumably has implications for the whole Australian economy. The Commonwealth Treasury’s (2003, p.4-22) Budget Strategy and Outlook 2003-04 noted this:
‘Efficient resource allocation will lead to activities of the highest value being carried out. On the one hand, resources will be allocated to activities where distance is not a barrier or where Australia’s advantages are clear. For example, in some areas of mining and agriculture, and potentially some areas of the international trade in services. On the other hand, it also means that, to a greater extent than for many other countries, resources will be allocated to activities where distance confers natural protection by decreasing the competitiveness of imported goods or services.’
Recognising that these factors are generally outside the control of policy is an important step in the development of effective economic policy. Australia’s performance should continue to be considered in the context of a geographically remote economy with a unique history and set of natural resource endowments. By recognising the role of these factors, the successes and shortcomings of economic policy can be fairly identified and appropriately responded to.
5. Conclusions
This paper has sought to evaluate the effect of remoteness on Australia’s aggregate level of trade using a gravity trade model.
The results from the model indicate that Australia’s trade performance is about as good as, or perhaps slightly better than, would be expected given Australia’s distance from its trading partners. The estimated roughly 50per cent rise in Australian trade were Australia to be as close to other economies as is the United Kingdom highlights the effects of Australia’s tyranny of distance. Importantly, while Australia faces challenges in its geographical isolation, its trade performance is no worse than should be expected, and has improved relative to the model’s predictions since the early 1980s.
Location and economic size clearly play a role in determining the extent to which a country trades. Moreover, it is likely that trade is not the only economic outcome affected by these geographical and economic factors. For instance, as distance to markets increases, import costs rise which will improve the viability of industries in which Australia has a comparative disadvantage but which are particularly sensitive to transport costs. Of course, different industries will be affected to different extents by distance. Further research could usefully be directed at identifying the role of distance (and other possible influences) on the likely industry structure for a country like Australia.
Moreover, the effect of these factors may also be evident in other economic outcomes. If they are providing a natural protection for industry, it is likely that labour productivity levels will be lower than in countries that are more accessible to international markets. Further research could be directed at identifyin
g the role that these factors play in other aggregate economic indicators, such as income and labour productivity.
6. References
Al-Atrash, HM and Yousef, T 2000, ‘Intra-Arab trade - is it too little?’ International Monetary Fund Working Paper 00/10.
Anderson, JE and van Wincoop, E 2001, ‘Gravity with gravitas: A solution to the border puzzle’, National Bureau of Economic Research Working Paper 8079.
Anderson, JE 1979, ‘A theoretical foundation for the gravity equation’, American Economic Review, vol. 69, pp. 106-16.
Bergstrand, JH 1998, ‘Comment on Deardorff (1998) Determinants of bilateral trade: Does gravity work in a neoclassical world,’ in J. A. Frankel (ed.), The Regionalization of the World Economy, University of Chicago Press: Chicago and London.
Blainey, G 1983, The tyranny of distance: How distance shaped Australia's history, Pan-Macmillan.
Central Intelligence Agency 2003, The world factbook: 2003, <http://www.cia.gov/cia/publications/factbook/index.html> viewed 10 October 2003.
Coe, DT Subramanian, A and Tamirisa NT 2002, ‘The missing globalisation puzzle’, IMF Working Paper WP/02/171.
Coe, DT and Hoffmaister, AW 1999, ‘North-south trade: Is Africa unusual?’, Journal of African Economies, vol. 8, 2, pp. 228-56.
Commonwealth Treasury 2003, ‘Sustaining growth in Australia’s living standards’, Budget Paper No. 1, Budget Strategy and Outlook 2003-04.
Deardorff, AV 1998, ‘Determinants of bilateral trade: Does gravity work in a neoclassical world,’ in JA Frankel (ed.), The Regionalization of the World Economy, University of Chicago Press: Chicago and London.
Evenett, SJ and Keller, W 1998, ‘On theories explaining the success of the gravity equation’, National Bureau of Economic Research Working Paper 6529.
Feder, G 1980, ‘Alternative opportunities and migration, evidence from Korea’, Annals of Regional Science, vol. 14, pp. 1-11.
Fitzpatrick, GL and Modlin, MJ 1986, Direct-line distances: International edition, The Scarecrow Press Inc: Metuchen.
Frankel, JA and Wei, SJ 1998, ‘Regionalisation of world trade and currencies: Economics and politics,’ in JA Frankel (ed.), The Regionalisation of the World Economy, University of Chicago Press: Chicago and London.
Foot, DK and Milne, WJ 1984, ‘Net migration estimation in an extended, multiregional gravity model’, Journal of Regional Science, vol. 24, 1, pp. 119-33.
Guttman, S and Richards, A 2004, ‘Trade openness: An Australian perspective’, Research Discussion Paper 2004-11, Reserve Bank of Australia.
Greene, WH 2003, Econometric analysis 5th edition, Prentice Hall: Upper Saddle River.
International Monetary Fund 2002, Direction of trade statistics yearbook, International Monetary Fund, Washington.
Kalirajan, KP 1999, ‘Stochastic varying coefficients gravity model: an application in trade analysis’, Journal of Applied Statistics, vol. 26, 2, pp.185-193.
Kalirajan, KP 2000, ‘Trade flows between Australia and India: An empirical analysis’, International Journal of Commerce & Management, vol. 10, 2, p. 32-47.
Linneman, H 1966, An econometric study of international trade flows, North Holland Publishing Company: Amsterdam.
Maddala, GS 1983, Limited dependent and qualitative variables in econometrics, Cambridge University Press: Cambridge.
Maddison, A 1995, Monitoring the world economy 1820-1992. OECD: Paris.
Maddison, A 2001, The world economy: A millenial perspective. OECD: Paris.
McCallum, J 1995, ‘National borders matter: Canada-U.S. regional trade Patterns’, The American Economic Review, vol 85, 3, pp. 615-623.
Montenegro, CM and Soto, R 1996, ‘How distorted is Cuba's trade? Evidence and predictions from a gravity model’, Journal of International Trade & Economic Development, vol 5, 1, pp. 45-70.
Obstfeld, M and Rogoff, K 2001, ‘The six major puzzles in international macroeconomics. Is there a common cause?’ National Bureau of Economic Research Working Paper 7777.
Pagan, A & Vella, F 1989, ‘Diagnostic tests for models based on individual data: A survey’, Journal of Applied Econometrics, vol. 4, pp. S29-S59.
Polak, JJ 1996, ‘Is APEC a natural regional trading bloc? A critique of the gravity model of international trade,’ World Economy, pp. 532-43.
Pyhnen, P 1963, ‘A tentative model for the volume of trade between countries’, Weltwirtschaftliches Archiv, 90, 1963(I), pp. 93-99.
Ramsey, JB 1969, ‘Tests for specification errors in classical linear least squares regression analysis’, Journal of the Royal Statistical Society B2, pp. 350-371.
Rose, AK 2002, ‘Do we really know that the WTO increase trade?’, National Bureau of Economic Research Working Paper 9273.
Tinbergen, J 1962, Shaping the world economy, The Twentieth Century Fund: New York.
Tobin, J 1958, ‘Estimation of relationships for limited dependent variables’, Econometrica, vol. 26, pp. 24-36.
U.S. Census Bureau 2002, International Data Base (IDB), <http://www.census.gov/ipc/www/idbnew.html>, viewed 10 October 2003.
Appendix A: Constructing the remoteness indicator
This Appendix sets out a measure of economic remoteness. It is derived directly from the specification of the gravity trade equation and has precedents in previously suggested indicators. In our view, our indicator accords better with existing theory about the effect of remoteness on economic interactions.
Five sections follow. In the next section, the history of remoteness indicators is reviewed. Section A2 outlines the methodology that is used in the construction of our indicator of remoteness. Section A3 presents the data and assumptions used in the calculation of the indicator. Section A4 presents the results from these calculations, with a particular focus on the results for Australia. Section A5 summarises.
A1. Background
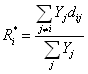
For our purposes, remoteness refers to how far a trading country is from all other countries, when those countries are weighted by their incomes. The development of the remoteness indicator itself has its foundation in the migration work of Feder (1980) and Foot and Mike (1984). Both these papers used weighted distance and income levels to explain regional migration decisions. However, the recent use of remoteness indicators has been most prevalent in work that applies gravity models to assess trade flows.
Polak (1996) drew attention to remoteness in the context of gravity trade models in his paper which examined the role of APEC as a natural regional trading bloc. Polak (1996) used Linneman’s (1966) location index, which weighted the distance to trading partners. The measure was of the relevant average distance between an importing country and the countries from which it imports where the weights were determined by the exporting capacity of those countries. Exporting capacity was calculated as a function of the GNP and population of those countries rather than the actual exports. Linnemann (1966) specified the average distance, or remoteness
, as:
(3)
where the asterisk is maintained throughout this appendix to represent remoteness indicators that prec
eded ours. The right-hand-side variables in equation (3) have been defined in the text. Linneman (1966) also used equation (3) to construct an index, scaled so that the average across countries was 100. This index was used as an indicator of how favourably a country was located in terms of international trade. Based on this index, Belgium and the Netherlands were the most favourably located countries in 1960, while Australia and New Zealand were two of the least favourably located countries.
Frankel and Wei (1998) used remoteness as part of a broader gravity model to estimate the effects of regional blocs on trading patterns. They used an ‘overall distance’ variable, which measured how far one economy was from other countries weighted by their GNPs. They hypothesised that the remoteness of a pair of trading parties from the rest of the world would have a positive effect on their trading volume. That is, the more remote a pair of countries is, the more likely they are to trade with each other as they have fewer other choices for engaging in trade.
More recently, Coe, et al (2002) also specified a remoteness variable defined similarly to that in Frankel and Wei (1998) as part of a gravity model aimed at explaining the apparent puzzle of the non-decreasing effect of transport costs over time on trade between two economies. While transport costs were traditionally seen as the primary source of friction in the gravity trade model, Coe et al (2002) suggested that remoteness could be considered as an extension of this friction. As such, Coe et al (2002) weighted the distance to each trading partner by that trading partner’s proportion of world GDP such that:
where
is world GDP.
In each of the applications, the focus was on weighting distance so that it could be used more effectively as an independent variable in a gravity model. The indicators also assume that geographic distance has a linear effect on the remoteness of a country.
However, the gravity model suggests that there is a nonlinear relationship between distance and trade, which implies a nonlinear relationship between distance and economic remoteness. In other words, in developing a remoteness indicator, the gravity model and its empirical support suggest that the effect of increasing distance should be discounted at some rate. The next sub-section develops an alternative approach to calculating remoteness that explicitly incorporates this insight.
A2. The new remoteness measure: Effective distance to the world’s GDP
The remoteness indicator that we develop here is comparable both over time and over countries, as the impact of GDP growth and different rest-of-world GDPs have been removed. From the standard gravity trade equation, the total level of trade for country i with all other countries j will be:
In equation (5), as in the gravity trade model in this paper, other variables include the populations of the two countries and whether the two countries share a common border. This equation, in turn, can be simplified to:
(6)
(7)
where
is the weighted world GDP, equal to
. The coefficients α and β are the coefficients on GDP and distance in the gravity trade model.
If, counterfactually, the rest of the world’s GDP,
, was at a single point a distance
from country i, then:
(8).
Substituting in for the value of
, we have:
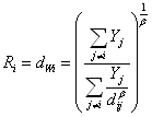
(9).
We now define our remoteness indicator, Ri, to be the effective distance to world GDP
; that is:
The parameter β deserves particular attention because its assumed value is the key difference between our remoteness indicator and remoteness indicators from earlier work.
First, it is reasonable to suppose that this parameter might differ over time, such as is found in Coe et al (2002). Second, even if it is held constant over time, estimates differ from model to model. The value of this parameter could be significant in affecting the results — high values will tend to increase the effects of distance, while low values will tend to reduce it. The value of β chosen in this paper is 1. This has the advantage of being fairly close to some empirical estimates such as those in Rose (2002) and simplifies the calculation slightly.
It is worth commenting briefly on the interesting special case of β = −1. In this case, equation (10) can be rewritten as:
(11)
which simplifies to:
Equation (12) is identical to equation (4), so the Coe et al (2002) remoteness indicate
is equivalent to our remoteness indicator
for the special case of β=-1. This further suggests that it may be inappropriate to use
to model remoteness, because the value -1 is well outside the normal range of estimated values for β in econometric modelling. For instance, Coe et al found values for β that ranged from around 0.3 to 1.1, depending on the model used.
A3. Data used to calculate the new indicator of remoteness
Data for the relevant variables are readily available. However, there are some complicating factors. This section details the data that were used to construct the remoteness indicator and the manipulations that were necessary for its use.5
It should be noted that the term ‘country’ is used loosely in the construction of the remoteness indicator — several of the entities recorded in this way are not strictly separate countries. For instance, Hong Kong is recorded separately to the People’s Republic of China, and the Falkland Islands are recorded separately to the United Kingdom.
A3.1 Gross Domestic Product data
The GDP data for the calculation of the remoteness indicator are taken from Maddison (1995) and Maddison (2001). GDP is measured in purchasing power parity international dollars. A total of 222 countries or regions are included in the database, with 215 in each of the years 1950 to 1989, and 220 in the years 1990 to 1998. The geographic coverage of the database is constant across time, with the changes in country counts caused by the break-up of Czechoslovakia and Yugoslavia. The Soviet Union was treated as a special case due to its geographic disaggregation. Maddison (2001, p.173) estimates that this set of data covers around 99.5percent of World GDP.
A3.2 The United States — a special case
The United States creates particular problems for calculating remoteness because it is one of the four largest countries in the world in terms of land area (along with Canada, Russia and China). However, unlike the other three countries in this group, or other large countries such as Australia, the United States accounts for a significant proportion of world GDP — 27percent in 1950, falling to 22percent in 1998.6
To reduce the distortion that this causes in the indicator, the United States is treated as a special case and is not measured as a single country when measuring the effect it has on other nations, but rather as 50 separate states (plus the District of Columbia).
Conceptually it would be preferable to apply this disaggregation to all the large countries in the database, regardless of size. However, this raises two practical difficulties. First, it makes calculation of the change in circumstances for an entire country more difficult, as many countries would now have multiple points of reference. Second, there are considerable practical difficulties in obtaining consistent information on the breakdown of GDP into state or regional products, particularly when a series is required that stretches back to 1950.
The use of this disaggregation for the United States does raise one particular difficulty, namely how should the US be treated for the purpose of its own remoteness? For the purposes of this indicator a weighted average of the values for each individual state or district is taken, using the relative GDP levels of the unit as the weighting factor. Also, rather than excluding only the state or districts own GDP from any calculation, the GDP of the entire United States is excluded.
A3.3 Location data
In order to calculate the distance between pairs of countries, some geographical information is needed. This raises the question of which location should be used for each country. As some countries have quite significant geographic dispersion, the question of where to place the GDP is a significant one.
Plausible choices for locating the GDP of a country would be at either its capital city or its most populous city. For the remoteness indicator in this paper, we use the locations from the CIA World Factbook (2003) for all the countries in the database, as these data are available on a consistent basis.7 The CIA World Factbook provides information on the latitude and longitude of ‘the geographical centre of an entity’. For most countries this provides a reasonably satisfactory point — because either the country’s economic output is reasonably geographically concentrated, or the country is relatively small. It should be noted, however, that this definition may be problematic for Australia, where the bulk of economic activity is located on the East Coast.
Having chosen locations at which to center the GDP of each country, we define the distance between any two such locations as the great circle distance between them.
A4. The new remoteness indicator: results
Using the specification of the remoteness indicator and the data presented in the previous two sections, remoteness indicators were calculated for the 222countries for which data were available in 1998. Figure 5 shows the distribution of this remoteness indicator,
,for those 222 countries.
Figure 5: Histogram of Remoteness, 1998.

Figure 6 shows how Australia’s distance to rest of world GDP has changed since1950. There has been a substantial fall in Australia’s remoteness over the period, with the fall accelerating sharply after 1970. The small tick upwards in 1998 is related to the Asian financial crisis, which savagely reduced the GDP of several of the countries relatively near to Australia.
Figure 6: Australia’s Remoteness (distance to the rest of the world’s GDP),
1950-1998

A5. Summary
The indicator developed in this Appendix offers a new approach to measuring remoteness that uses the nonlinear specification suggested in the gravity trade equation. We have used this indicator of remoteness in our estimated gravity trade equation to capture the increased likelihood of two remote economies, like Australia and New Zealand, trading with each other. By itself, though, the remoteness indicator provides a potent reminder of the challenges created by Australia’s distance from much of the world’s economic activity.
Appendix B: Estimating the gravity trade equation
A maximum likelihood estimator is used to estimate the parameters of the nonlinear gravity trade equation. This estimator is presented in equation (13).
Using a nonlinear estimation methodology allows the inclusion of the zero values in the dependent variable, but it does not correct for the censoring that exists at that zero point. Consequently, we apply a Tobit maximum likelihood to correct for this censoring.
There is some precedent for the use of a Tobit procedure in the estimation of a gravity trade equation. Montenegro and Sodo (1996) noted the usefulness of the Tobit approach in the gravity model where the dependent variable is bounded from below by zero in their analysis of Cuba’s trade. Al-Atrash and Yousef (2000) also use the Tobit approach for zero-bounded trade in their analysis of intra-Arab trade. However, the application of the Tobit procedure is more limited in broader gravity trade models, most likely due to the usually small number of limit observations and the sensitivity of the Tobit approach to the violation of key statistical assumptions.
The Tobit model is defined, with censoring at zero and
representing the latent level of trade, as:
The log-likelihood function for estimation therefore becomes a straightforward derivation from Maddala (1983, p.152):
(15)
Where
represents the distribution function of the st
andard normal.
The Tobit model is particularly sensitive to the assumptions of homoskedasticity and normality in the distribution of the residuals. Violation of these assumptions has been shown to result in an inconsistent estimator of the parameters (see, for instance, Pagan and Vella, 1989). Violating the assumption of a standard normal distribution for equation (13) will also lead to an inconsistent estimator.
To identify whether these assumptions are well-founded in this model, the conditional moment tests presented in Pagan and Vella (1989) are applied to the estimates. These conditional moment test results are presented in Table 4 as the t-statistic of the parameter on a unit vector in a regression of the applicable conditional moment on a constant and the score of the log-likelihood. For comparison, conditional moment tests are also presented for the standard maximum likelihood estimated uncensored nonlinear specification. Depending on the conditional moment being used, the significance of this parameter will reveal possible heteroskedasticity, non-normality in the distribution of the residuals, or a general misspecification of the model (similar to Ramsey’s (1969) RESET specification test).
Table 4 presents the regression and diagnostic test results for each of the years presented in the results. The diagnostic tests indicate that the assumption of a normally distributed residual cannot be accepted for either the uncensored maximum likelihood or Tobit censored maximum likelihood results. Moreover, there are heteroskedasticity concerns particularly with the common border, population and economic mass variables. However, model specification, reflected in the RESET type statistics is generally acceptable.
Table 4: Select results of the standard and Tobit estimation
of the gravity trade model
|
1980 |
1985 |
1990 |
1995 |
2001 |
||||||
|
Standard |
Tobit |
Standard |
Tobit |
Standard |
Tobit |
Standard |
Tobit |
Standard |
Tobit |
|
|
Constant |
-10.76 |
-10.94 |
-8.03 |
-8.03 |
-8.07 |
-8.08 |
-8.91 |
-8.91 |
-6.33 |
-6.32 |
|
Economic Mass |
0.90 |
0.91 |
0.89 |
0.89 |
0.83 |
0.83 |
0.72 |
0.72 |
0.69 |
0.69 |
|
Distance |
-0.49 |
-0.49 |
-0.53 |
-0.53 |
-0.51 |
-0.51 |
-0.52 |
-0.52 |
-0.46 |
-0.46 |
|
Population |
-0.20 |
-0.21 |
-0.10 |
-0.10 |
-0.06 |
-0.06 |
0.07 |
0.07 |
0.09 |
0.09 |
|
Remoteness |
0.27 |
0.27 |
0.17 |
0.17 |
0.19 |
0.19 |
0.37 |
0.37 |
0.22 |
0.22 |
|
Common Border |
0.64 |
0.64 |
0.33 |
0.33 |
0.56 |
0.56 |
0.89 |
0.89 |
0.98 |
0.98 |
|
PRED^2*η |
1.10 |
1.49 |
1.60 |
1.96* |
1.73* |
1.43 |
0.36 |
0.69 |
0.89 |
0.61 |
|
PRED^3*η |
1.14 |
1.37 |
1.49 |
1.70* |
1.78* |
1.47 |
0.29 |
1.09 |
1.14 |
0.90 |
|
Economic Mass |
3.04*** |
1.60 |
7.16*** |
0.59 |
5.14*** |
0.65 |
3.88*** |
0.98 |
5.26*** |
3.80*** |
|
Distance |
1.59 |
0.97 |
0.81 |
2.38** |
1.64 |
1.23 |
0.56 |
0.02 |
1.96** |
1.38 |
|
Population |
2.87*** |
0.49 |
4.85*** |
2.08** |
6.15*** |
2.65*** |
2.44** |
2.58*** |
2.73*** |
3.02*** |
|
Remoteness |
0.15 |
0.00 |
1.29 |
1.60 |
0.83 |
1.21 |
1.03 |
0.02 |
1.19 |
1.14 |
|
Common Border |
1.86* |
0.60 |
0.03 |
0.34 |
1.71* |
2.04** |
2.75*** |
2.84*** |
4.23*** |
3.98*** |
|
Skewness |
7.54*** |
10.50*** |
6.00*** |
6.85*** |
5.37*** |
6.90*** |
3.30*** |
4.81*** |
4.23*** |
4.39*** |
|
Kurtosis |
8.23*** |
6.91*** |
10.59*** |
4.41*** |
6.87*** |
5.14*** |
4.64*** |
3.76*** |
3.61*** |
3.19*** |
Notes: The ‘standard’ results are from a maximum likelihood estimation of the nonlinear model specified in equation (2). The Tobit results are from a Tobit maximum likelihood estimation of the censored regression in equation (14). Figures in brackets are the estimate divided by its standard error. *** indicates significance at the 1 per cent level, ** indicates significance at the 5 per cent level and * indicates significance at the 10 per cent level. Diagnostic test results are the t-statistic on a unit vector in a regression of the relevant conditional moment (specified in Pagan and Vella, 1989) on that unit vector and the score of the log-likelihood.
Given that both of the estimators were susceptible to inconsistency in their estimates, the Tobit model results were chosen because they overcame the bias associated with the limit observations. Additional work could be directed at overcoming the associated diagnostic concerns. For instance, Greene (2003) suggests a general variance specification that can be used to produce heteroskedastic consistent estimates. A Box-Cox transformation could also be used as a general method to overcome the non-normality concerns.
1 See McCallum, (1995), Obstfeld and Rogoff, (2000) and Anderson and van Wincoop, (2001) for a thorough exploration of the border effects on trade.
2 Another minor difference is that bilateral trade is measured as the sum of exports of the reporting country and the partner country rather than the sum of the imports.
3 The countries are a broad representation and are not limited to any particular culture or level of development.
4 The diagnostic tests suggest violations of the assumptions of homoskedasticity and normality in the distribution of the residual for both the Tobit and uncensored estimator. This brings into question the consistency of the estimates. Ultimately, these concerns could be alleviated by a slightly modified estimation procedure, however initial findings suggested that there was little noticeable difference when such modifications were made.
5 There are some differences between the sources of this data and the data that are used to estimate the parameters of the gravity trade equation. These differences arise because of the extended period that the remoteness indicator is calculated over and because we sought to maintain the comparability of the gravity trade parameters with the Coe et al (2002) results. The key differences are the sources of the GDP and location data.
6 China accounts for 4percent of world GDP in 1950, rising to 11.5percent by 1998. There would probably be some accuracy improvement by disaggregating China’s GDP into provinces. This will probably be included in a later revision of the dataset once appropriate figures for China are available.
7 In the estimation of the gravity trade model, we use the data used by Coe
et al (2002) (which, in turn are sourced from Fitzpatrick and Modlin, 1986). That data specifies the distance between capital cities for a more limited set of countries. Further work to produce alternative definitions of the location of the country may be worthwhile, although it is likely to have only a marginal impact on the results.





